1. Ներկայացնել հենաշարժիչ համակարգի կառուցվածքը և գործառույթը։
Հենաշարժիչ համակարգն օրգանիզմում կատարում է արյունաստեղծ, հենարանային, պաշտպանական և տեղաշարժման ֆունկցիաները։ Կմախքը մարմնի հենարանն է, նրան տալիս է որոշակի ձև և դիրք տարածության մեջ։ Ոսկրերը միանալով առաջացնում են խոռոչներ և պաշտպանում նրանցում գտնվող օրգաններն արտաքին ազդեցություններից
2. Հենաշարժիչ համակարգը ինչպե՞ս է պաշտպանում մեր ներքին օրգանները։
Մարդու ստորին վերջույթների կոնքագոտին ավելի լայն է։ Այն պաշտմանում է կոնքի խոռոչի օրգանները և միաժամանակ կատարում է հենարանի դերը։ Մարդու ոտնաթաթն ունի կամարաձև կորություն, ինչի շնորհիվ քայլելու, վազելու, կամ ցատկելու ժամանակ թուլանում է ցնցումների ուժը։ Չափահաս մարդն ունի չորս կորություններ՝ պարանոցային և գոտկային, որոնք ուղղված են առաջ, և կրծքնային ու սրբանային, որոնք ուղղված են հետ։ Այդ ողնաշարի կորությունները նխաստում են հավասարակռության պահպանմանը։
3. Լսողական վերլուծիչի կառուցվածքը և գործառույթը։
Լսողական վերլուծիչի ծայրամասային բաժինը լսողական օրգանն է՝ ականջները։ Ականջը կազմված է երեք բաժնից, արտաքին, միջին և ներքին։ Արտաքին ՝ ականջախեցի և արտաքին լսողական անցուղի, միջին՝ մուրճիկմ սալ, ասպանդակ ներքին՝ գալարուն խողովակներ խխունջ։ Ականջախեցուց ձայնային ալիքներն գնում են դեպի արտաքին լսողական անցուղի՝ առաջացնելով թմբկաթաղանթի տատանուﬓեր, դրանց ուժը ﬕջին ականջի ոսկրիկների օգնությամբ ﬔծանում է և փոխանցվում ձվաձև պատուհանի թաղանթին: Այդ թաղանթի տատանուﬓերն առաջացնում են խխունջի ներսում գտնվող հեղուկի շարժուﬓեր, դրանք փոխանցվում են հիմային թաղանթի թելիկներին: Վերջինների տատանուﬓերն ազդակը տանում են նյարդային վերջույթներ, և առաջացած նյարդային գրգիռը լսողական նյարդով հասնում է ﬔծ կիսագնդերի կեղևի քունքային բաժին, որտեղ կատարվում է ձայնի բնույթի, ուժի, բարձրության վերջնական կարգավորումը:
4. Մկանների կառուցվածք։
Մկանների տարբեր խմբեր տարբեր ֆունկցիաներ են կատարում։ Մարդու մարմնի մկանները բաժանվում են հետևյալ խմբերի՝ գլխի, մեջքի, կրծքի, որովայնի և վերջույթների։ Օրգանիզմում կան ավելի քան 600 մկան, որոնք լինում են հարթ և միջաձիք զոլավոր։
5. Ի՞նչ ֆունկցիա են կատարում մկանները։
Մկանների շնորհիվ մարմինը պահպանում է հավասարակշռությունը, տեղաշարժվում է տարածության մեջ, իրականացնում կրծքավանդակի ու ստոծանու շարժումները, կլլման ակտը, աչքի շարժումները, ներքին օրգանների, այդ թվում՝ սրտի աշխատանքը։
6. Դեկտեմբեր ամվա բլոգային աշխատանք:
Հենաշարժիչ համակարգ
Մկանային համակարգ
Месяц: Декабрь 2024
Մկանային համակարգ
Լրացուցիչ աշխատանք․ պատասխանել հարցերին
1. Ինչպիսի՞ կառուցվածք ունեն կմախքային մկանները:
Կմախքային մկաններն ունեն բարդ կառուցվածք։ Յուրաքանչյուր մկան կազմված է շարակցահյուսվածքային միջնաշերտով միմյանցից բաժանված բազմաթիվ խրձերից։ Արտաքինից մկանը ծածկված է ամուր թաղանթով՝ փակեղով։ Մկանախրձերում գտնվում են տարբեր երկարության մկանաթելեր։
2. Ի՞նչ դեր է կատարում մկանային համակարգը:
Մկանների շնորհիվ մարմինը պահպանում է հավասարակշռությունը, տեղաշարժվում է տարածության մեջ, իրականացնում կրծքավանդակի ու ստոծանու շարժումները, կլլման ակտը, աչքի շարժումները, ներքին օրգանների, այդ թվում՝ սրտի աշխատանքը։
3.Ինչպե՞ս են կատարվում շարժուﬓերը հոդերի ﬕջոցով:
4. Որտե՞ղ են տեղակայված հարթ և ﬕջաձիգ զոլավոր մկանները:
Հարթ մկանը գտնվում է ներքին օրգանների և արյունատար անոթների պատերում, մաշկում։ Իսկ միջաձիգ զոլավոր մկանների դերն օրգանիզմում բազմազան է։ Նրանք մասնակցում են մարմնի խոռոչների և օրգանների պատերի կազմությանը ապահովում են մարմնի կեցվածքը, հավասարակշռությունը, ձայնի առաջացումը։
5. Ինչպիսի՞ հիﬓական մկանախմբեր գիտեք:
Մկանների տարբեր խմբեր տարբեր ֆունկցիաներ են կատարում։ Մարդու մարմնի մկանները բաժանվում են հետևյալ խմբերի՝ գլխի, մեջքի, կրծքի, որովայնի և վերջույթների։ Օրգանիզմում կան ավելի քան 600 մկան, որոնք լինում են հարթ և միջաձիք զոլավոր։
Հանրահաշվի և երկրաչափության նոյեմբեր-դեկտեմբեր ամսվա հաշվետվություն
Հանրահաշիվ՝
Ամբողջ ցուցիչով աստիճան, հատկությունները 11/04/2024
Հանրահաշվական կոտորակներ և նրանց հատկությունները
Հանրահաշվական կոտորակներ 11.11.2024
Հանրահաշվական կոտորակներ և նրանց հատկությունները 11/19/2024
Հանրահաշվական կոտորակներ և նրանց հատկությունները
Թվաբանական գործողություններ հանրահաշվական կոտորակների հետ
Թվաբանական գործողություններ հանրահաշվական կոտորակների հետ
Ռացիոնալ արտահայտությունների ձևափոխումը
Ռացիոնալ արտահայտությունների ձևափոխումը
Ռացիոնալ արտահայտությունների ձևափոխումը
Երկրաչափություն՝
Շեղանկյուն և քառակուսի
Շեղանկյուն և քառակուսի 11/05/2024
Տարածական պատկերներ։ Զուգահեռանիստի սահմանումն ու հատկությունները
Պրիզմա (հատվածակողմ)
Բուրգ 11/16/2024
Շրջանագիծ
Շրջանագծի և ուղղի փոխադարձ դասավորությունը
Շրջանագծի շոշափող
Պատկերացում գլանի մասին
Պատկերացում կոնի մասին
Շրջանագծի աղեղի աստիճանային չափը
Ներգծյալ և կենտրոնային անկյուն
Ռացիոնալ արտահայտությունների ձևափոխումը

ա) 1/a+1/b
բ) 1/(a+b)2
գ) 1/(1/a2-1/b2)
դ) 1/(a+1/a)

ա) 1/5+1/10=0,3
բ) 1/(0,5+1)2=0,44
գ) 1/(1/24+1/42)=8
դ) 1/(2-1/2)=0,66
ե) 1/3+1/9=0,44
զ) 1/1,2=0,83
է) 1/(1/42-1/43)=21,32
ը) 1/(3-1/3)2=0,14





Ներգծյալ և կենտրոնային անկյուն
1) Ըստ գծագրերի տվյալների՝ գտեք x-ը․
ա)

152+80=232
x=(360-232)/=64
բ)

125+30*2=185
x=360-185=175
գ)

180+112=292
x=292/2=146
դ)

215+20*2=255
x=360-255=105
2) AB կիսաշրջանագծի վրա վերցված են C և D կետերն այնպես, որ ∪AC=57o, ∪BD=63o: Գտեք CD լարը, եթե շրջանագծի շառավիղը 12 սմ է։
12սմ
3) AOB կենտրոնային անկյունը 30o-ով մեծ է AB աղեղին հենված ներգծյալ անկյունից։ Գտեք այդ անկյուններից յուրաքանչյուրը։
Հայոց Լեզվի և գրականության 1-ին ուս․ շրջանի հաշվետվություն
Սեպտեմբեր՝
Հայոց լեզվի և գրականության սեպտեմբեր ամսվա հաշվետվություն
Հոկտեմբեր՝
Հոկտեմբերյան հայոց լեզվի և գրականության հաշվետվություն
Նոյեմբեր՝
Հայոց լեզվի և գրականության նոյեմբեր ամսվա հաշվետվություն
Դեկտեմբեր՝
Հայոց լեզվի և գրականության դեկտեմբեր ամսվա հաշվետվություն
Նախագծեր՝
Թարգմանում ենք
Կոմիտասյան նախագիծ
Ուսումնական աշուն
Կարդում ենք Գալշոյան
Տարեմուտի ընթերցումներ. նախագիծ
Հայոց լեզվի և գրականության դեկտեմբեր ամսվա հաշվետվություն
Նախագծեր՝
Տարեմուտի ընթերցումներ. նախագիծ
Հայոզ Լեզու՝
Բայի ըղձական եղանակը, նրա ժամանակաձևերը, 02.12.2024
Պայմանական, հարկադրական և հրամայական եղանակներ․ժամանակաձևերը,04․12․2024
Տեքստային աշխատանք,09․12․2024
Տարեմուտի ընթերցումներ. նախագիծ
Գրականություն՝
ԿՈՄԻՏԱՍԸ ԳԱԼՇՈՅԱՆԻ ԵՐԿԵՐՈՒՄ, 03.12.2024
Սուրբ Ծննդյան գիշերը Չարլի Չապլինի գրած նամակը դստերը՝ Ջերալդինային,10․12․2024
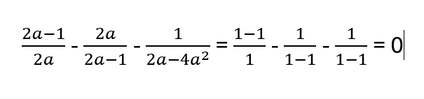
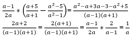
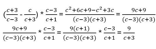
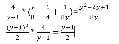
Ռացիոնալ արտահայտությունների ձևափոխումը
Պարզեցրեք ռացիոնալ արտահայտությունը․






Լրացուցիչ աշխատանք



Ամանորյա սթիկերներ

Test on passive voice
1. Choose the correct answer.
1. Drinks and snacks serve / are served in the buffet car.
2. We gave / were given our boarding passes at the check-in desk.
3. The passenger wore / was worn his seatbelt.
4. The flight attendant has made / has been made a mistake with my change.
5. The waiting room is cleaning / is being cleaned.
2. Complete the sentences with the passive form of the verbs in brackets. Use the correct tense.
1. Each year, thousands of suitcases are lost (lose) by different airlines.
2. Kay is pleased because her favourite perfume has been reduced. (reduce) in the duty-free shop.
3. We waited until the departure gate was announced (announce).
4. The hard shoulder will be closed (close) next week for emergency repairs.
5. They were stopped (stop) at passport control last night.
6. The ticket office is used (use) by millions of passengers every week.
7. George couldn’t find his bag because it had been stolen (steal).
8. You will be taken (take) to the airport tonight by taxi.
3. Complete the second sentence with the correct form of the passive. Use by where necessary.
1. Charles Dickens wrote Oliver Twist.
Oliver Twist was written by Charles Dickens.
2. Vandals have damaged the petrol station.
The petrol station has been damaged by vandals.
3. They will add four more carriages to the train at the next station.
Four more carriages will be added to the train at the next station.
4. Someone had left the bag at baggage reclaim.
The bag had been left at baggage reclaim.
5. Low-cost airlines sell many cheap flights.
Many cheap flights are sold by low-cost airlines.
6. They are repairing the tracks so there aren’t any trains.
The tracks are being repaired.