ԱՌԱՋԱԴՐԱՆՔՆԵՐ
1. Որո՞նք են Հարավարևմտյան Ասիայի բնակչության բարձր աճի պատճառները:
Բնակչության աճի վրա ազդում են ազգային, կրոնական սովորույթները և սոցիալ-տնտեսական պայմանները։
2. Բնութագրե՛ք Հարավարևմտյան Ասիայի բնակչության ազգային և կրոնական կազմը:
Հարասարևմտյան Ասիայում մեծ չափերի են հասնւոմ բնակչության գաղթերը։ Հարասարևմտյան Ասիայի բնակչությունը եվրոպեոիդ ռասայի հարավային ճյուղին։ Հարավարևմտյան Ասիայում բնակչության մեծամասնությունը Մահմեդականներ և Քրիստոնյաներ են։
3. Նկարագրե՛ք տարածաշրջանի բնակչության տեղաբաշխումը:
Հարավարևմտյան Ասիայի բնակչությունը համեմատաբար խիտ է տեղաբաշխված հիմնականում քաղաքներում և ծովափնյա տարածքներում։ Արևմուտքում և հարավում, որտեղ գտնվում են մեծ քաղաքներ, բնակչությունն ավելի խիտ է, օրինակ՝ Թեհրանում (Իրան), Բաղդադում (Իրաք) ու Դուբայում (ՄԱԷ)։ Արաբական թերակղզու երկրներում նույնպես բարձր է բնակչությունը, հատկապես մայրաքաղաքներում։ Մինչդեռ, կենտրոնական և արևելյան տարածքներում, որոնք ունեն անապատային պայմաններ, բնակչությունը ավելի ցրված է։ Գյուղական շրջանները բնակեցված են հիմնականում հողագործությամբ զբաղվող համայնքներով։
4. Որո՞նք են տարածաշրջանի հակամարտությունների պատճառները: Բացատրե՛ք:
Հարավարևմտյան Ասիայի հակամարտությունների պատճառները հիմնականում կապված են կրոնական, ժողովրդական, քաղաքական և տնտեսական գործոնների հետ։
5. Գնահատե՛ք հայերի և տարածաշրջանի մյուս ժողովուրդների ավանդը մարդկային քաղաքակրթության մեջ:
Հայերը մեծ ավանդ ունեն գրականության, քրիստոնեության տարածման և արվեստի մեջ։ Արաբները կարևոր դեր են խաղացել գիտության ու բժշկության զարգացման մեջ։ Պարսիկները նպաստել են ճարտարապետության ու կրոնի զարգացմանը։
6. Պատրաստե՛ք փոքրիկ հաղորդում տարածաշրջանի հայության մասին:
Месяц: Декабрь 2024
Շրջանագծի աղեղի աստիճանային չափը
Առաջադրանքներ․
1. Որքա՞ն է ներգծյալ անկյունը, որը հենված է 28° աստիճանային չափով աղեղի վրա:
28/2=14°
2. Դիցուք BAC անկյունը 35° է: Որքա՞ն է BnC աղեղի աստիճանային չափը։

35*2=70°
3. Գտիր ASB անկյունը, եթե ASB աղեղի աստիճանային չափը 268° է:

268/2=134°
4. Գտիր BOC և BAC անկյունները, եթե ∪AB=130° ∪AC=150° ։
BOC=360-130-150=80°
BAC=80/2=40°
5. Հաշվիր AOB եռանկյան անկյունները, եթե ∪AB=100°։

<O=100°
180-100=80
80/2=40
<B, <A=40°
6. ACB աղեղի աստիճանային չափը 260° է: Գտիր AOB և ACB անկյունները:

AOB=360-260=100°
ACB=100/2=50°
Степени сравнения прилагательных
2 урок.
Упражнение 1
Образуйте от этих прилагательных простую сравнительную степень.
Замечательный — замечательнее
наглый — наглее
хороший — лучше
притягательный — притягательнее
симпатичный — симпатичнее
дорогой — дороже
молодой — моложе
стройный — стройнее
питательный — питательнее
крутой — круче
Упражнение 2
Образуйте от этих прилагательных простую превосходную степень.
Краткий — кратчайший
мощный — мощнейший
жестокий — жесточайший
старый — старший
высокий — высший
дорогой — дорожайший
подлый — подлейший
редкий — редчайший
страшный — страшнейший
тяжелый — тяжелейший
Упражнение 3
Распределите эти слова на две группы: в первую запишите прилагательные в составной форме сравнительной степени, во вторую поместите прилагательный в составной форме превосходной степени.
Составная форма превосходной степени — самый некрасивый, добрее всех, наименее вкусный, самый светлый, любознательные всех.
Составная форма сравнительной степени — более уверенный, менее истощенный, менее занятой, наиболее удачный, менее интересный.
Упражнение 4
Поставьте прилагательные в скобках в форму простой сравнительной степени.
1. Этот фильм интереснее (интересный).
2. Зеленая кофта дешевее (дешевый), чем красная.
3. Путь через поле короче (короткий), чем через лес.
4. Сумка тяжелее (тяжелый), чем я думала.
5. Учитель по биологии строже (строгий), чем преподаватель по географии.
6. Здесь дорога шире (широкий), а дальше становится узже (узкий).
7. Математика для меня труднее (трудный), чем русский язык.
8. Отец сильнее (сильный) обнял дочь.
9. Этот подъем опаснее (опасный), чем предыдущий.
10. Лед там тоньше (тонкий), поэтому туда опасно выходить.
Տարեմուտի ընթերցումներ. նախագիծ
Սուրբ Ծննդյան գիշերը Չարլի Չապլինի գրած նամակը դստերը՝ Ջերալդինային
Վերլուծություն՝
Առաջին տպավորությունն ընթերցանությունից հետո զարմանալի էր։ Այս նամակի շնորհիվ ես ավելի լավ հասկացա Չարլի Չապլինին։ Ճիշտն ասած մի փոքր տխուր է, որ այսպիսի տարրական մարդկության մասին բնակչության մեծամասնությունը չգիտի, և պետք է արդեն այդ ամենի մասին գրել։ Նամակը Սուրբ ծննդյան գիշերվա առթիվ նվեր էր Չարլիի ավագ աղջկան՝ Ջերալդինային։ Նամակում սկզբից նկարագրվում էր Չարլիի սերը դեպի դստերը, նկարագրվում է ընտանիքը, և այդ ամենից հետո սկսում է նամակի բուն ասելիքը։ Նամակում ներկայացված Ջերալդինան։ Ջերալդինան, ըստ Չարլիի նկարագրության, լավ պարուհի էր, ով արդեն հասնում էր բարձրունքների։ Չարլին փոքր տարիքում որբ է մեծացել, այնուհետև՝ աղքատության մեջ, հետևաբար՝ նա գիտեր, թե ինչ է նշանակում լինել առանց նյութական արժեքների։ Ցանկացած մարդու համար էլ կարևոր է նյութականը, հատկապես գումարը, և ինչպես նշեր էլ Չարլին՝ փողը դիվային ուժ ունի։ Մարդիկ, գերվելով փողով, մոռանում են մարդ լինելը։ Նրանք տարված են մեկ այլ աշխարհով, հարստությամբ, հպարտությամբ, հզորությամբ, իրենց միշտ համեմատում են ուրիշների հետ։ Այդ ինքնասիրությունը, հպարտությունը, որը ստիպում է քեզ զգալ բոլորից ավելին, այն ստիպում է նրանց մոռանալ մարդկային արժեքները, բարությունը, գեղեցկությունը։ Նամակի մեջ Չարլին ուղիղ ասում է, որ այս աշխարհում ամենագեղեցիկը Ջերալդինան չէ, ամենալավ պարուհին Ջերալդինան չէ։ Այնքան ավելի լավ պարուհիներ կան, այնքան ավելի գեղեցիկ աղջիկներ։ Ոչ բոլորը կկարողանային համարձակվել կոտրել իրենց դստրի ինքնավստահությունը այդպիսի անկեղծությամբ։ Ոմանց համար այս խոսքերը նույնիսկ կոպիտ կհնչեն, բայց ես այդպես չեմ կարծում։ Այդ խոսքերը ոչ միայն Ջերալդինային էին վերաբերվում, այլ բոլորին։ Պետք է հասկանալ, որ «ամենա-ամենա» մարդ չկա այս երկրում։ Ես վստահ եմ, որ Ջերալդինան կգիտակցի հոր խոսքերի նշանակությունը, և կընդունի այն, քանի որ այսպիսի անկեղծությամբ նամակը՝ անգին է։ Ես ամբողջովին համամիտ եմ Չարլիի հետ։ Ես վստահ եմ, որ նույնիսկ այն մեկը, ով երբեք չի մտածել այս խնդիրի շուրջ, ընթերցելով այս նամակը մի պահ կմտածի այս ամենի մասին։
Օտարազգի Ամանորյա ավանդույթներ
Ճապոնացիների համար Ամանորը կարևոր տոներից մեկն է։ Նոր տարվա նախօրյակը նրանք կոչում են «ոսկե շաբաթ»։ Ամանորը դիմավորելիս ճապոնացիները բարձր ծիծաղում են, քանի որ հավատում են, որ ծիծաղը նրանց հաջողություն կբերի եկող տարվա մեջ։ Բացի այդ, նրանք Ամանորի ժամանումը ազդարարում են 108 զանգերի ձայնով, որոնց ձայնը կեսգիշերին լսվում է յուրաքանչյուր տաճարից։ Համաձայն բուդդայական հավատքի, մարդը տարվա ընթացքում ունի 108 բացասական մտահոգություններ, և ամեն մի զանգի հարված վանում է դրանցից մեկին։
Իտալիայում Ամանորյա գիշերին մարդիկ ազատվում են իր անպիտանի իրերից: Անմիջապես պատուհաններից դուրս են թռչում հին կահույքը, մաշվաշ հագուստն և այլ առարկաներ: Իտալացիները հավատում են այն բանին, որ ինքչան շատ իր մնա փողոցներում թափված, այնքան էլ հաջողություն և գումար կբերի նոր տարին:
Կուբայում Ամանորից առաջ բոլորը լցնում են իրենց բաժակները ջրով, իսկ երբ ժամացուցյի սլաքները խփում են ուղիղ 12-ը, այդ ջուրը բաց պատուհաններից թափում են փողոց: Դա նշանակում է, որ հին տարին ավարտվեց և կուբացիները միմյանց ցանկանում են, որ նոր տարին լինի նույքան մաքուր և ջինջ, որքան այդ բաժակների ջուրը:
Իռլանդիայում Ամանորի նախօրեին, երեկոյան լայն բացվում են բոլոր տների դռները և ցանկացած մարդ, ով կցանկանա, կարող է ներս մտնել ու դառնալ ցանկալի հյուր: Կեսգիշերից կես ժամ առաջ իռլանդացիները դուրս են գալիս իրենց քաղաքների կենտրոնական հրապարականեր և զվարճանում:
Տեքստային աշխատանք,09․12․2024
330. Տեքստն ուշադի՛ր կարդա, հարցերին պատասխանի՛ր և առաջադրանքը
կատարիր:
Մարագում մկան բույն կար: Բնում իր երեք ձագի հետ ապրում էր մայր մուկը:
Խոշոր ու փափկամորթ սիամական կատուն հեզիկ-նազիկ եկավ, կանգնեց մկան բնի առաջ ու անուշ-անուշ խոսեց.
-Մուկի՛կ քույրիկ, քաղցրի՛կս, խելո՜քս, համո՜վս, թե էդ ծակից դուրս գաս ու, ա՜յ, էս ծակը մտնես, քեզ մի կարմիր ոսկի կտամ: Մուկը կծկվեց իր բնում ու մտածեց. «Տեսնես ինչո՞ւ է էս կարճ ճամփի համար էդքան վարձ տալիս: Էստեղ հաստատ մի խարդախություն կա»:
Այդպես երկար ծանրութեթև արեց մուկը և ծակից դուրս չեկավ:
Ասաց.
-էս կարճ ճամփի համար ինչո՞ւ ես էդքան վարձ տալիս: Չեմ գա:
Կատվից ո՞վ է լավություն տեսել որ:
Հարցեր և առաջադրանքներ
Այս պատմության մեջ կարևոր է (այս հարցերի պատասխանները տեքստում գտիր, քո
պատասխաններն էլ հիմնավորի՛ր)`
ա) որտե՞ղ է մկան բույնը
Մարագում
բ) ի՞նչ մուկ է ապրում բնում
Մայր մուկը
գ) ո՞ւմ հետ է ապրում մուկը
Իր երեք ձագի հետ
դ) ի՞նչ տեսակի և ինչպիսի՞ն է կատուն
Խոշոր ու փափկամորթ սիամական
ե) ինչպե՞ս եկավ կատուն
հեզիկ-նազիկ
գ) կատուն որտե՞ղ կանգնեց
մկան բնի առաջ
է) ինչպե՞ս խոսեց կատուն
անուշ-անուշ
ը) կատուն մկանն ինչպե՞ս դիմեց
«Մուկի՛կ քույրիկ, քաղցրի՛կս, խելո՜քս, համո՜վս»
թ) կատուն ի՞նչ ասաց
«— Մուկի՛կ քույրիկ, քաղցրի՛կս, խելո՜քս, համո՜վս, թե էդ ծակից դուրս գաս ու, ա՜յ, էս ծակը մտնես, քեզ մի կարմիր ոսկի կտամ:»
ժ) ինչպե՞ս մտածեց մուկը
Մուկը կծկվեց իր բնում ու մտածեց
ժա) ի՞նչ մտածեց մուկը
«Տեսնես ինչո՞ւ է էս կարճ ճամփի համար էդքան վարձ տալիս: Էստեղ հաստատ մի խարդախություն կա»
ժբ) մուկն ի՞նչ արեց
Երկար ծանրութեթև արեց մուկը և ծակից դուրս չեկավ
ժգ) մուկն ի՞նչ ասաց
«— էս կարճ ճամփի համար ինչո՞ւ ես էդքան վարձ տալիս: Չեմ գա:»
ժդ) դրանից հետո կատուն ի՞նչ արեց:
Տեքստը համառոտի՛ր`դուրս հանելով այն բառերը, բառակապակցությունները, նախադասությունները, որոնք ավելորդ են:
Մարագում մկան բույն կար: Բնում ապրում էր մուկը:
Կատուն եկավ, կանգնեց մկան բնի առաջ ու խոսեց.
-Թե էդ ծակից դուրս գաս ու, ա՜յ, էս ծակը մտնես, քեզ մի կարմիր ոսկի կտամ: Մուկը մտածեց. «Տեսնես ինչո՞ւ է էս կարճ ճամփի համար էդքան վարձ տալիս: Էստեղ հաստատ մի խարդախություն կա»:
Մուկը ծակից դուրս չեկավ:
Ասաց.
-էս կարճ ճամփի համար ինչո՞ւ ես էդքան վարձ տալիս: Չեմ գա:
Կատվից ո՞վ է լավություն տեսել որ:
1․ Տեքստից դուրս գրիր գոյականները և ձևաբանորեն վերլուծիր։
2․ Տեքստից հանիր բայերը և գրիր դրանց կազմությունը, դեմքը, թիվը, եղանակը, ժամանակը, ժամանակաձևը, սեռը։
կար
ապրում էր
եկավ
կանգնեց
խոսեց
դուրս գաս
մտնես
կտամ
կծկվեց
մտածեց
տեսնես
տալիս
կա
արեց
դուրս չեկավ
չեմ գա
տեսել
3․ Դուրս գրիր դերանուններն ու որոշիր տեսակները։
Իր
ԿՈՄԻՏԱՍԸ ԳԱԼՇՈՅԱՆԻ ԵՐԿԵՐՈՒՄ, 03.12.2024
Գրական երկերում հեղինակի կերտած հերոսներին զգալն ու ներկայացնելը խիստ պատասխանատու է, դժվար:
Համարձակությունս չի բավարարում վերցնել գրիչը, այսուհանդերձ վերցնում եմ…
Խոսքս Մուշեղ Գալշոյանի` Մեծն Կոմիտասին նվիրված խոսուն պատմվածաշարի մասին է: Մեծանուն գրողը զարմանալի նրբանկատությամբ, հարուստ, գունագեղ բառաշխարհով, լեզվամտածողական բացառիկ ոճով ու մեծ հուզականությամբ է կերտել Կոմիտասի սքանչելի կերպարը: Պատմվածաշարը սկսվում է «Օրն ավետյաց» պատմվածքով, ուր Գալշոյանը ներկայացնում է ապագա հանճարի մուտքը երաժշտական աշխարհ` խավարից դեպի լույս, անհայտից հայտնություն: Այդ օրն ավետիք էր և´ փոքրիկ Սողոմոնի համար, ում կյանքում նոր էջ էր բացվում, և´ հայոց աշխարհի համար. նա ընտրվել էր որբերի միջից և Սուրբ Թեոդոս վանքից գալիս էր Էջմիածին ուսանելու: Նրա համար դա իրական, ապրեցնող երազ էր. «Իրականությունը երազ էր, ու երազը կրկնվում էր: Փոշոտ ճամփի վրա ձիերը վարգ էին առել, նրանց պարանոցներին ու կողերին վետվետում էին զանգակները: Օրը հենց մի դեղին ու կլոր զանգակ էր, ղողանջելով գնում էր դեպի լեռները»:
Մանկան հոգին խռոված էր. նա չգիտեր հայերեն. «Փորձեց հիշել, հատիկ-հատիկ հավաքել իմացած մայրենին… ուրեմն` Մարե… Հայրիկ… Հայ… Հայրենիք… Նա կիսաձայն ասաց իմացած բառերը, կամաց ու հանդարտ, որ ուշ վերջանան… Երակներում քնած մայրենին էր, ելք էր որոնում: Այն քնած արծիվ էր, որը մի շողքից աչք էր բացել, թպրտում էր հոգում… բառերը արյան հետ խուժում էին քունքերը, լեզու պահանջում, և բառերը պեծ-պեծ թափվում էին նրա աչքերից»:
Գալշոյանը զարմանալի նուրբ ու խոր զգացողականությամբ է հյուսել սիրելի հերոսի` Կոմիտասի կատարելության հասնող կերպարը: Եվ ինչպես հմուտ վարպետի ձեռքին գործիքներն են արագ ու վարժ ստեղծում, արարում հրաշագեղ կոթողներ, այնպես էլ հեղինակի ձեռքին բառերը նորանում են, նոր շունչ, իմաստ են առնում… ու բնության սիրահար գրողի ստեղծարար միտքը, գունեղ գրիչը կերտել է սքանչելի նկարագրություններ աշխարհի, մարդու, բնության և… և հենց նրա մասին, ով այդ բնաշխարհի ունկնդիրն էր, ընկալողն ու երգիչը…
«Գեղջկական երգերը ծնվել են այն ժամանակ,- գրում է հեղինակը,- երբ բնությունն ու շինականը եղել են արնակից, անխռով, եղել մի կտուրի տակ… Եվ շինականը իրեն կոչել է բնության տերը` իրավունքով` տեր, աշխատանքով` մշակ: Երբ գեղջկական երգերը չեն հորինվել, այլ ցորյանի պես ծլել են ժամանակին, անարատ…»: Դրանք խտացնում են հայ շինականի օրն ու կյանքը, տառապանքը, բողոքը, որոնց այնպե˜ս զգույշ է մոտեցել երգիչը, մշակել ու վերադարձրել տիրոջը… Հոգեհմա այդ երգերը բացառիկ արժեք ունեին Կոմիտասի համար:
Բնապաշտ գրողի գունեղ գրիչը զարմանալի կենդանի ու բնական է նկարագրել բնության գույները, ձայները, շշուկներն ու հնչյունները: Չէ՞ որ բնությունն ինքնին երգ է` անսկիզբ, անվերջանալի երգ, որը հենց այդպես էլ զգում, ընկալում էր Մեծն Կոմիտասը:
«Նա լուսնի շողերով երգն էր նոտագրում ու երգի հետ այդ գիշերվա արձակ շշուկները, տերևների սվսվոցը, արտերում հալված մանգաղների զրնգոցը, արևահար խոտերի, կալերի բույրը… շինականների դադրած շունչն ու երազները և բոլորը լուսնի շողերով օծված»:
Կոմիտասի բազմաբովանդակ, խոսուն երաժշտական աշխարհը, բանաստեղծական գողտրիկ խոսքը ունեն համամարդկային մեծ արժեք, կապրեն ժողովրդի մեջ` գերելով մարդկանց հոգիներ: Հայի բառ ու խոսքին անծանոթ օտարուհին, լսելով Կոմիտասի «Կռունկը», հուզվում է. «Դա ի˜նչ երաժշտություն էր… ի˜նչ ձայն… ես երբեք չպիտի մոռանամ… չպիտի մոռանամ…»:
Նրա շուրթերով խոսում էր անպաշտպան, բնաջնջվող մի ողջ ժողովուրդ: Նրա երգը տարագիր հայի հոգու երգն էր, հայրենիքի կարոտի կանչը, բողոքն ու ընդվզումն ընդդեմ անարդար աշխարհի: Նրա երգը հայի իրական կյանքն էր, սերը, ուժն ու պատմությունը: «Երգը ժողովրդի պատմությունն է, արևմտահայի այսօրվա օրն ու կյանքը: Զորավիգ ոչ ոք չունի, արդար ոչ մի դուռ, որուն գանգատվելու գնա»: Այսպես է հեղինակը բացում հայրենասեր երգչի խոհերը:
Կոմիտասին նվիրված պատմվածաշարը Գալշոյանը եզրափակում է «Ձայն ամենայն հայոց…» պատմվածքով, ուր երաժշտագետ-երգիչը ներկայանում է մեզ իր երաժշտական ողջ ընկալողականությամբ, ստեղծագործական ուրույն աշխարհով: Նա կարողանում էր արտաբերված մեկ հնչյունով ճանաչել, զատել, հավաքել հայոց աշխարհի բոլոր գավառներին յուրահատուկ բարբառը, երաժշտական ձայները, հնչյուններն ու շունչը. «Աշխարհիս չորեք կողմերեն երգչախմբումս ձայն ունեմ. հայ ձայն հնչեցնել կարելի է ու… երաժշտանոց հիմնել»:
Այո´, Կոմիտասը հիմնեց ու սերունդներին փոխանցեց երգի իր գանձարանը: Կոմիտասի վառ կերպարին շատերն են անդրադարձել: Նրա Մեծ անհատականությամբ նաև Գալշոյանն է գերվել: Ասեմ` մեծանուն գրողին հաջողվել է բազմակողմանիորեն, խորությամբ ամբողջացնել Կոմիտասի հիասքանչ կերպարը:
Գալշոյանական նկարագրությամբ Կոմիտասի կերպարը կմնա անկրկնելի:
Գոհար ՄԱՆՈՒԿՅԱՆ
Հենաշարժիչ համակարգ
1. Որո՞նք են կմախքի բաժինները:
Կմախքը կազմված է գլխի, իրանի, վերին և ստորին վերջույթների բաժիններից։
2. Ի՞նչ բաժիններից է կազմված իրանի կմախքը:
Իրանի կմախքը կազմված է կրծքավանդակից և ողնաշարից
3. Ի՞նչ ոսկրերից է կազմված կրծքավանդակը:
Կրծքավանդակը կազմված է կրծքային ողերից, կրծողկրից և 12 զույգ կողոսկրերից, որոնք կիսաշարժուն միացած են կրծոսկրին, իսկ ողնաշարի հետ՝ շարժուն։
4. Ինչպիսի՞ առանձնահատկություններ ունի մարդու կմախքը` կապված ուղղաձիգ քայլվածքի հետ:
Մարդու ստորին վերջույթների կոնքագոտին ավելի լայն է։ Այն պաշտմանում է կոնքի խոռոչի օրգանները և միաժամանակ կատարում է հենարանի դերը։ Մարդու ոտնաթաթն ունի կամարաձև կորություն, ինչի շնորհիվ քայլելու, վազելու, կամ ցատկելու ժամանակ թուլանում է ցնցումների ուժը։
5. Ի՞նչ դեր են կատարում ողնաշարի կորությունները:
Չափահաս մարդն ունի չորս կորություններ՝ պարանոցային և գոտկային, որոնք ուղղված են առաջ, և կրծքնային ու սրբանային, որոնք ուղղված են հետ։ Այդ ողնաշարի կորությունները նխաստում են հավասարակռության պահպանմանը։
Սուրբ Ծննդյան գիշերը Չարլի Չապլինի գրած նամակը դստերը՝ Ջերալդինային,10․12․2024
Դստրիկս
Հիմա գիշեր է: Ծննդյան գիշեր: Իմ փոքրիկ ամրոցի բոլոր անզեն պահապանները քնել են: Քնած են և եղբայրդ ու քույրդ: Նույնիսկ մայրդ արդեն քնել է: Ես քիչ մնաց արթնացնեի այդ նիրհող թռչնակներին, մինչև կհասնեի իմ այս աղոտ լուսավորված սենյակը:
Ինչքան հեռու եմ քեզանից, բայց թող կուրանան աչքերս, թե քո պատկերը , թեկուզ մի ակնթարթ, հեռանում է աչքիս առաջից: Նա այնտեղ է, իմ սեղանին, այստեղ` սրտիս մեջ: Այդտեղ՝ հեքիաթային Փարիզում, դու պարում ես փառահեղ թատրոնի բեմահարթակի վրա, Ելիսեյան դաշտերում: Ես դա լավ գիտեմ, և ինձ թվում է, գիշերվա այս լռության մեջ լսում եմ քո քայլերը, տեսնում եմ քո աչքերը, որ փայլում են, ինչպես աստղերը ձմեռային գիշերում: Ես լսել եմ, որ դու այդ տոնական ու շողշողուն ներկայացման մեջ կատարում ես դերը պարսկական գեղեցկուհու, որը գերված է թաթարական խանից: Գեղեցկուհի՛ եղիր և պարիր, ա՛ստղ եղիր և փայլիր, բայց եթե հանդիսատեսի ցնծությունն ու շնորհակալության խոսքերն արբեցնեն քեզ, եթե գլուխդ պտույտ գա քեզ ընծայված ծաղիկների բույրից, ապա քաշվիր մի անկյուն և կարդա իմ նամակը, ունկնդիր եղիր հորդ ձայնին.
Ես քո հայրն եմ, Ջերալդինա՛:
Ես` Չարլի Չապլինը:
Գիտե՞ս, թե քանի գիշերներ եմ անցկացրել քո մահճակալի մոտ, երբ դու փոքր էիր. քեզ հեքիաթներ էի պատմում և՛ քնած գեղեցկուհու, և՛ մշտարթուն վիշապի մասին… Իսկ երբ քունը իջնում էր իմ ծերացող աչքերին, ես ծիծաղում էի նրա վրա ու ասում. << Հեռացի՛ր, իմ քունը իմ աղջկա երազանքներն են>>: Ես տեսնում էի քո այդ երազանքները, Ջերալդինա, տեսնում էի քո ապագան, քո այսօրը։ Ես տեսնում էի բեմահարթակի վրա խաղացող մի աղջկա, երկնքում ճախրող մի փերու: Լսում էի՝ ինչպես մարդիկ ասում են.<< Տեսնու°մ եք այս օրիորդին: Սա այն ծեր ծաղրածուի աղջիկն է: Հիշու°մ եք ինչ էր նրա անունը` Չարլի>>:
Այսօր հերթը քոնն է: Պարի՛ր: Ես պարում էի լայն պատառոտված անդրավարտիքով, իսկ դու պարում ես արքայադստեր մետաքսյա հագուստով: այդ պարերն ու ծափահարությունների որոտը քեզ երկինք կհանեն: Բարձրացի՛ր: Բարձրացիր այնտեղ, աղջիկս, բայց և վերադարձիր երկիր, դու պետք է տեսնես, ինչպես են ապրում մարդիկ, ինչպես են ապրում այն ծայրամասերի փողոցի պարուհիները. Նրանք պարում են ցրտից և սովից դողալով: Ես այնպիսին եմ եղել, ինչպիսին նրանք են, Ջերալդինա: Այն գիշերները, այն կախարդական գիշերները, երբ դու քնում էիր` օրորվելով իմ հեքիաթներից, ես չէի քնում. Ես նայում էի քո դեմքին, լսում էի քո սրտի զարկերը և ինձ հարց էի տալիս.<< Չարլի, միթե՞ այս փիսիկը կճանաչի քեզ երբևէ>>: Դու ինձ չես ճանաչում, Ջերալդինա… Ես շատ հեքիաթներ եմ պատմել քեզ այն երկար գիշերներին, բայց իմը, իմ հեքիաթը` չեմ պատմել: Իսկ դա նույպես հետաքրքիր է: Հեքիաթ` քաղցած ծաղրածուի մասին, որ պարում ու երգում էր Լոնդոնի աղքատ թաղամասերում, իսկ ապա… ողորմածություն հայցում…
Ահա նա՝ իմ հեքիաթը: Ես գիտեմ՝ ինչ բան է սովը, ինչ է անօթևան լինելը: Դեռ ավելին` ես ճաշակել եմ ստորացնող մորմոքը այն թափառական ծաղրածուի, որի կրծքի տակ փոթորկվում է հպարտության մի ամբողջ օվկիանոս, և այդ հպարտությունը մեռցնում էին նետած դրամերը… և չնայած այդ ամենին՝ ես ապրում եմ, իսկ ապրողների մասին սովորաբար քիչ է խոսվում:
Ավելի լավ է խոսենք քո մասին:
Քո անվանը, Ջերալդինա, հետևում է իմը` Չապլին: Այդ անունով ես ավելի քան քառասուն տարի ծիծաղեցրել եմ մարդկանց: Բայց ես ավելի լաց եմ եղել, քան նրանք ծիծաղել են: Ջերալդինա, այն ախարհում, որտեղ ապրում ես դու, միայն պարերն ու երաժշտությունը չէ,որ գոյություն ունեն…Կեսգիշերին, երբ դու դուրս ես գալիս մեծ դահլիճից, կարող ես մոռանալ քո հարուստ երկրպագուներին, բայց մի՛ մոռանա այն տաքսու վարորդին, որը քեզ տուն է տանում, հարցրու նրա կնոջ մասին… Եվ եթե նա հղի է, եթե նրանք փող չունեն երեխայի համար շապիկներ գնելու, փող դիր նրա ձեռքը: Ես կարգադրել եմ, որպեսզի բանկում վճարեն քո այդօրինակ ծախսերը: Իսկ ինչ մնում է մյուսներին, դու նրանց վճարիր ճիշտ հաշվով: Ժամանակ առ ժամանակ օգտվիր մետրոյից, կամ շրջիր ավտոբուսով և շատ ավելի հաճախ քայլիր ոտքով, դիտիր քաղաքը: Զննի՛ր մարդկանց, նայիր այրիներին և որբերին և գոնե օրը մեկ անգամ ասա ինքդ քեզ, : Այո, դու հենց այդպիսին ես, ինչպիսին նրանք են, դստրիկս: Եվ նույնիս ավելի պակաս: Արվեստը, նախքան մարդուն թևեր տալը, որպեսզի նա կարողանա ճախրել ամպերից վեր, սովորաբար կտրում է նրա ոտքերը: Եվ եթե գա այն պահը, երբ դու քեզ վեր կզգաս հասարակությունից, անմիջապես թո՛ղ բեմը: Նստիր առաջին իսկ պատահած տաքսին և գնա Փարիզի արվարձանները:Դրանք ինձ շատ լավ ծանոթ են: Դու այնտեղ կտեսնես շատ պարուհիների, այնպիսիններին, ինչպիսին դու ես, նույնիսկ ավելի գեղեցիկները, ավելի նազելիները, ավելի հպարտները, քան դու ես: Քո թատրոնի լուսարձակների կուրացուցիչ լույսերը այնտեղ չկան: Նրանց լուսարձակը լուսինն է:
Նայի՛ր, ուշադի՛ր նայիր: Չի՞ թվում քեզ արդյոք, որ նրանք քեզանից ավելի լավ են պարում: Խոստովանի՛ր, խոստովանի՛ր, աղջիկս: Միշտ էլ կգտնվի մեկը,որ քեզանից լավ կպարի և քեզանից լավ կխաղա: Եվ հիշիր, Չարլիի ընտանիքում չի եղել այնքան անտաշ մեկը, որ հայհոյեր կառապանին կամ ծաղրեր Սենայի ափին նստած աղքատին:
Ես պիտի մեռնեմ, բայց դու պիտի ապրես… Ես ուզում եմ, որ դու երբեք չիմանայիր՝ ինչ բան է աղքատությունը:
Այս նամակի հետ քեզ ուղարկում եմ չլրացված դրամական չեկ, որպեսզի դու կարողանաս ծախսել այնքան, որքան ցանկանում ես: Բայց երբ ծախսես երկու ֆրանկ, մի՛ մոռացիր հիշեցնել քեզ, որ երրորդը քոնը չէ, նա պետք է պատկանի այն անծանոթին, որն ունի դրա կարիքը: Իսկ դու հեշտությամբ կգտնես այդպիսի մեկին: Ես քեզ հետ խոսում եմ փողի մասին, որովհետև գիտեմ նրա դիվային ուժը: Գիտես, ես շատ ժամանակ եմ անցկացրել կրկեսում և միշտ երկյուղ եմ զգացել լարախաղացների համար: Բայց պետք է քեզ, աղջի՛կս, ասեմ մի ճշմարտություն. Մարդիկ գետնի վրա ավելի’ անհաստատ են, քան լարախաղացները` երերուն լարի վրա: Գուցե կարող է պատահել՝ այս երեկո քեզ կուրացնի մի թանկագին ադամանդի փայլը, հենց դա էլ կլինի քո անհուսալի պարանը, և քո անկումն անխուսափելի է: Կարող է պատահել՝ մի գեղեցիկ օր գերվես ինչ-որ արքայազնի գեղեցկությամբ, այդ պահին դու կդառնաս մի անփորձ լարախաղաց, իսկ անփորձները միշտ ընկնում են: Մի վաճառիր սիրտդ ոսկով ու զարդարանքներով, գիտցիր, որ ամենամեծ ադամանդը արևն է: Բարեբախտաբար նա լուսավորում է բոլորին: Եվ երբ մի գեղեցիկ օր սիրահարվես մեկնումեկին, ապա նվիրվիր նրան մինչև վերջ: Ես ասել եմ մորդ, որպեսզի նա այդ մասին գրի քեզ: Նա սերը ավելի լավ գիտի, քան ես, նրան ավելի վայել է խոսել այդ մասին…
Քո աշխատանքը շատ ծանր է, ես գիտեմ, քո մարմինը ծածկված է մի կտոր մետաքսով: Հանուն արվեստի կարելի է հայտնվել բեմի վրա նաև մերկ, բայց այնտեղից պետք է վերադառնալ հագնված և մաքրված: Ոչինչ և ոչ ոք այս աշխարհում արժանի չէ այն բանին, որպեսզի տեսնի աղջկա նույնիսկ ոտքերի եղունգները: Մերկությունը մեր ժամանակի ախտն է: Ես ծեր եմ, և իմ խոսքերը, հնարավոր է, ծիծաղելի են հնչում: Սարսափելի ոչինչ չկա, եթե քո համոզմունքները այս հարցում տասնյակ տարիների վաղեմություն ունենան, եթե այն պատկանի անցած ժամանակին: Մ՛ի վախեցիր, այդ տասնյակ տարիները չեն ծերացնի քեզ, բայց ինչ էլ ուզում է լինի, ես ցանկանում եմ , որ դու լինես վերջինը նրանցից, ովքեր կդառնան տկլորների կղզու հպատակը:
Ես գիտեմ, որ հայրերի և որդիների միջև գնում է հավերժական մենամարտ: Ինձ հետ, իմ մտքերի հետ կռվիր, աղջիկս: Ես չեմ սիրում հնազանդ երեխաներ, և քանի դեռ աչքերիցս արցունքներ չեն կաթել այս տողերի վրա, ուզում եմ հավատալ՝ Ծննդյան այս գիշերը հրաշալիքների գիշեր է: Ես կցանկանայի, որպեսզի հրաշք կատարվեր, որ դու իսկապես հասկանայիր այն բոլորը, ինչ ցանկացա ասել քեզ:
Չարլին արդեն ծերացել է, Ջերալդինա՛: Վաղ թե ուշ բեմական սպիտակ մետաքսի փոխարեն ստիպված պիտի լինես սև զգեստ հագնել, որպեսզի գաս իմ գերեզմանին: Այժմ ես չեմ ուզում վշտացնել քեզ: Միայն ժամանակ առ ժամանակ նայիր հայելուն, այնտեղ դու ինձ կտեսնես: Քո երակներով իմ արյունն է հոսում: Նույնիսկ այն ժամանակ, երբ արյունը կսառչի իմ երակներում,ես կուզենայի, որ դու չմոռանաս հորդ` Չարլիին:
Ես չեմ եղել հրեշտակ, բայց որքան կարողացել եմ, ձգտել եմ լինել մարդ:
Փորձիր և դու:
Համբուրում եմ քեզ:
Չարլի:
Հարցեր և առաջադրանքներ։
1․ Ուշադիր կարդա՛ և բլոգումդ վերլուծի՛ր։
Առաջին տպավորությունն ընթերցանությունից հետո զարմանալի էր։ Այս նամակի շնորհիվ ես ավելի լավ հասկացա Չարլի Չապլինին։ Ճիշտն ասած մի փոքր տխուր է, որ այսպիսի տարրական մարդկության մասին բնակչության մեծամասնությունը չգիտի, և պետք է արդեն այդ ամենի մասին գրել։ Նամակը Սուրբ ծննդյան գիշերվա առթիվ նվեր էր Չարլիի ավագ աղջկան՝ Ջերալդինային։ Նամակում սկզբից նկարագրվում էր Չարլիի սերը դեպի դստերը, նկարագրվում է ընտանիքը, և այդ ամենից հետո սկսում է նամակի բուն ասելիքը։ Նամակում ներկայացված Ջերալդինան։ Ջերալդինան, ըստ Չարլիի նկարագրության, լավ պարուհի էր, ով արդեն հասնում էր բարձրունքների։ Չարլին փոքր տարիքում որբ է մեծացել, այնուհետև՝ աղքատության մեջ, հետևաբար՝ նա գիտեր, թե ինչ է նշանակում լինել առանց նյութական արժեքների։ Ցանկացած մարդու համար էլ կարևոր է նյութականը, հատկապես գումարը, և ինչպես նշեր էլ Չարլին՝ փողը դիվային ուժ ունի։ Մարդիկ, գերվելով փողով, մոռանում են մարդ լինելը։ Նրանք տարված են մեկ այլ աշխարհով, հարստությամբ, հպարտությամբ, հզորությամբ, իրենց միշտ համեմատում են ուրիշների հետ։ Այդ ինքնասիրությունը, հպարտությունը, որը ստիպում է քեզ զգալ բոլորից ավելին, այն ստիպում է նրանց մոռանալ մարդկային արժեքները, բարությունը, գեղեցկությունը։ Նամակի մեջ Չարլին ուղիղ ասում է, որ այս աշխարհում ամենագեղեցիկը Ջերալդինան չէ, ամենալավ պարուհին Ջերալդինան չէ։ Այնքան ավելի լավ պարուհիներ կան, այնքան ավելի գեղեցիկ աղջիկներ։ Ոչ բոլորը կկարողանային համարձակվել կոտրել իրենց դստրի ինքնավստահությունը այդպիսի անկեղծությամբ։ Ոմանց համար այս խոսքերը նույնիսկ կոպիտ կհնչեն, բայց ես այդպես չեմ կարծում։ Այդ խոսքերը ոչ միայն Ջերալդինային էին վերաբերվում, այլ բոլորին։ Պետք է հասկանալ, որ «ամենա-ամենա» մարդ չկա այս երկրում։ Ես վստահ եմ, որ Ջերալդինան կգիտակցի հոր խոսքերի նշանակությունը, և կընդունի այն, քանի որ այսպիսի անկեղծությամբ նամակը՝ անգին է։ Ես ամբողջովին համամիտ եմ Չարլիի հետ։ Ես վստահ եմ, որ նույնիսկ այն մեկը, ով երբեք չի մտածել այս խնդիրի շուրջ, ընթերցելով այս նամակը մի պահ կմտածի այս ամենի մասին։
2․ Ի՞նչ խորհուրդ ուներ Չապլինի նամակը։
Չապլինը խորհուրդ էր տալիս չմոռանալ որիշների մասին։ Իհարկե, ինքներս մեզ պետք է սիրել և իմանալ մեր արժեքը, բայց ոչ մի դեպքում մեզ ուրիշներից վերև պետք չէ դնել։ Մենք բոլորս մարդիկ ենք և մենք բոլորս հավասար ենք։
3․ Ի՞նչ էր ավանդում նա իր դստերը։
4․ Ի՞նչն էր կարևորում կյանում Չապլինը։
Չապլինը կարևորում է մարդու արժեքները, մարդու վերաբերմունքը որիշների հանդեպ, այլ ոչ թե գումարը մարդու դրամապանակի մեջ։
5․ Համաձա՞յն ես նրա մտքերի հետ․ հիմնավորի՛ր պատասխանդ։
Ես ամբողջովին համամիտ եմ Չարլիի հետ։ Ես վստահ եմ, որ նույնիսկ այն մեկը, ով երբեք չի մտածել այս խնդիրի շուրջ, ընթերցելով այս նամակը մի պահ կմտածի այս ամենի մասին։
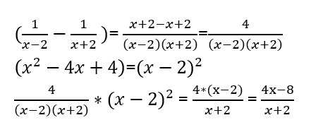
Ռացիոնալ արտահայտությունների ձևափոխումը
Առաջադրանքներ․
1) Պարզեցրեք արտահայտությունը․
ա)

1) (x2y-xy2/x-y +xy)=x2y-xy2+x2y-xy2/x-y=2x2y-2xy2/x-y=2xy
2) y/x+x/y=y2+x2/xy
2xy*(x2+y2)/xy=2(x2+y2)
բ)

m4-n4/n2m2
գ)

-2
2) Ապացուցեք նույնությունը․


Լրացուցիչ աշխատանք․
1) Պարզեցրեք արտահայտությունը․
ա)

3/1-a
բ)

b-3/b
գ)

-p/k
2) Ապացուցեք նույնությունը․


Պատկերացում կոնի մասին
Առաջադրանքներ․
1) 30o անկյուն ունեցող ուղղանկյուն եռանկյունը պտտվում է մեծ էջի շուրջը։ Գտեք պտտումից առաջացած կոնի ծնորդը, եթե այդ կոնի շառավիղը 15 սմ է:
15*2=30սմ

2) Կոնի առանցքային հատույթը 12 սմ կողմով հավասարակողմ եռանկյուն է։ Որոշեք այդ կոնի շառավիղն ու ծնորդը։
Շառավիղ՝ 12/2=6սմ
ծնորդ` 12սմ

3) Կոնի առանցքային հատույթը հավասարասրուն ուղղանկյուն եռանկյուն է, որի ներքնաձիգը 20 սմ է։ Գտեք այդ կոնի շառավիղը։
20/2=10սմ